베르누이 분포, 베르누이 시행
베르누이 시행이란
베르누이 시험을 이야기 하며 시험을 통한 결과가 성공 혹은 실패 상호 반대되는 결과를 가지는 시험을 뜻 한다.
※ 결과가 2개로 나옴(O,X 혹은 성공,실패)
성공할 확률 = p, 실패할 확률 = q 로 나타낸다.
ex) 어느 한 자격증 시험은 합격할 확률이 60% 일 때 p = 0.6 , q = 0.4 를 가진다.
이와 같이 사건이 발생을 하였을때 성공 확률을 나타내고 베르누이 시험은 독립된 시험 1회에 대한 결과 값을 가진다.
관련 공식으로는
확률은 : p, 평균 : p, 분산 : p(1-p)
확률 = 성공 확률을 의미하고 p로 표기 한다.
평균은 베르누이 시행은 실험을 한번만 진행 하기 때문에 실험 횟수 n이 1이므로 평균은 확률과 동일 하다.
분산은 성공확률 p 와 실패 확률 1-p를 곱한 값을 이야기 하며 1-p는 q라고도 표기를 한다.
이항 분포
이항 분포란 베르누이 시험을 여러번, 즉 n번 반복 하였을때 n번의 시행이 확률 p를 가질때의 분포를 이야기한다.
이때 반복되는 각각의 시험은 다음 시험에 영향을 주지 않고, 독립적인 상태를 이야기 한다.
※이항분포는 이산확률 분포의 한 종류로 이항 분포 각 확률 변수 x가 가지는 값 합은 1이 되어야 한다.
ex) 동전 던지기를 5번 하였을 때 n번 성공할 확률
확률 변수 p(x), x 가 0번의 성공 부터 5번 전부 성공 할때 각각의 경우와 x가 가지는 확률의 분포를 이야기 한다.
각 사건이 독립이란?
동전 던지기를 할때 처음 던질때와 N번째 던질때의 앞면이 나올 확률은 동일하다.
이처럼 처음 던졌을때의 시험이 이후의 시험 성공 확률에 영향을 주지 않아야 된다.
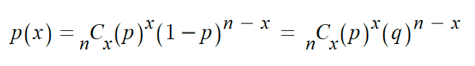
이항 분포에서의 확률 변수 x에 대한 확률 공식
※n → 시험 횟수, x → 성공횟수, p → 독립 시행에서의 성공 확률, 1-p = q(독립 시행에서의 실패 확률)

이항 분포에서의 평균 = n * p
이항 분포에서의 분산 = n * p * (1-p) = n * p * q
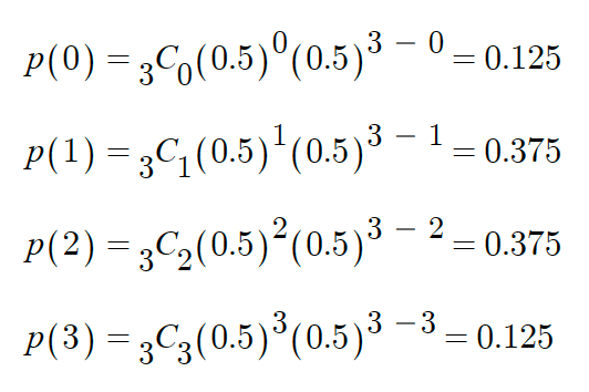
예를 들어 위의 동전 던지기를 예시로 들어 보자.
동전이 앞면이 나올 확률은 50% 이고 우리는 총 3번의 동전 던지기를 하였을 때,
이항분포는 아래와 같고 이를 확률 분포 표로 나타 낼수 있다.

|
성공횟수(확률 변수x)
|
확률
|
평균
|
분산
|
|
p(0)
|
0.125
|
n * p = 3 * 0.5
1.5 |
n * p * q = 3 * 0.5 * 0.5
0.75 |
|
p(1)
|
0.375
|
||
|
p(2)
|
0.375
|
||
|
p(3)
|
0.125
|
확률 분포 표